Answer ALL questions. Look for any feedback given if you get an answer incorrect. Keep choosing an answer until you get it correct. CORRECT or INCORRECT answers are indicated at the TOP of the page. A score is given at the TOP of the page when the exercise has been completed.
What is calculated with this following formula
impedance
capacitive reactance
inductive reactance
AC power
What is calculated with this following formula
impedance
capacitive reactance
inductive reactance
AC power
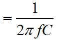
What is calculated with this following formula
impedance
capacitive reactance
inductive reactance
AC power
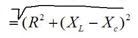
What is calculated with this following formula
XL
XC
Z
R
What is calculated with this following formula
XL
XC
Z
R
What is calculated with this formula
single phase power
3-phase power
Reactive power
DC power
What part of the following formula represents inductive reactance?
XL
XC
=
R
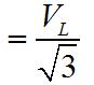
What is the purpose of the following formula?
DC voltage
single phase voltage
line voltage
phase voltage
What is calculated with this following formula
AC power
power factor
phase voltage
line voltage
What is calculated with this following formula
power factor
total impedance
capacitive reactance
single-phase power
What is calculated with this following formula
power factor
single phase power
3-phase power
Ac apparent power
Which of the following types of power is also known as 'watt-less' power (because it can do no work)
True power
Apparent power
Reactive power
DC power
A resistor of 4 ohms and pure inductor with inductive reactance of 3 ohms are connected in series to 200v AC supply. Calculate the current.
4A
40A
50A
24A
A 10 microFarad capacitor is connected to a 240v 50Hz supply. Calculate the capacitive reactance?
318 ohms
228 ohms
375 ohms
400 ohms
A circuit connects a 28.8 ohm resistor and a capacitor with capacitive reactance of 38.4 ohms. Calculate the total impedance of the circuit.