Answer ALL questions. Look for any feedback given if you get an answer incorrect. Keep choosing an answer until you get it correct. CORRECT or INCORRECT answers are indicated at the TOP of the page. A score is given at the TOP of the page when the exercise has been completed.
State the connection method for a wattmeter in a circuit?
connect in series with the load
connect in parallel with the load
connect in series and parallel with the load
connect in series or parallel with the load
State the connection method for an ammeter in a circuit?
connect in series with the load
connect in parallel with the load
connect in series and parallel with the load
connect in series or parallel with the load
State the connection method for a voltmeter in a circuit?
connect in series with the load
connect in parallel with the load
connect in series and parallel with the load
connect in series or parallel with the load
What instrument is shown by letter 'A' in the circuit shown here?
ammeter
voltmeter
wattmeter
load
What instrument is shown by letter 'B' in the circuit shown here?
ammeter
voltmeter
wattmeter
load
What instrument is shown by letter 'C' in the circuit shown here?
ammeter
voltmeter
wattmeter
load
What instrument is shown by letter 'D' in the circuit shown here?
ammeter
voltmeter
wattmeter
load
Identify the process for calculating DC power ?
volts squared divided by resistance
volts multiplied by current squared
current squared multiplied by resistance squared
volts multiplied by resistance
Identify the SI unit for POWER?
coulomb
watt
ampare
newton
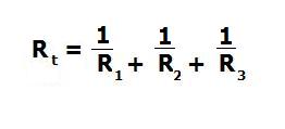
What formula is shown here?
total resistance in series
total resistance in parallel
total resistance in series and parallel
total resistance
Which one of the following statements is true of the following formula?
this is the reciprocal law for resistors in parallel
this is the complete formula for resistors in parallel
this parallel resistors formula is missing a '1' above Rt
this is a formula for resistors in series and parallel