Select the correct formula

Electrical and mechanical formulae - 4Q's random from a bank

Drag and Drop the names on the right onto the symbols on the left (left mouse click and hold).
Then click the CHECK button. Incorrect answers turn BLACK. © K.Brown 2025.

Instructions

Drag the items on the right ONTO the correct items on the left.

When you have finished - click the CHECK button. Incorrect answers will show as BLACK.
re-Drag and Drop any incorrect answers and click the CHECK button. Keep correcting until you have them ALL CORRECT.

NOTE: if you have had any re-attempts the score will not show 100% but all correct answers will show as WHITE

© K.Brown 2025
x
x
x
x
x
x
x
x
x
x
x
x
x
x
x
x
x
x
x
x
x
x
x
x
x
x
x
x
x
x
x
x
x
x
x
x
x
Three-phase power
Capacitive Reactance
Capacitors in parallel
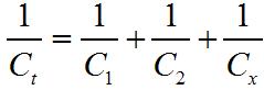
Capacitors in series
electrical charge (Q)
Efficiency
EMF from a generator
Force on a conductor
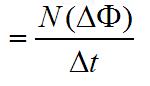
Induced EMF due to flux change
Lighting cosine law
Inductance
Inductive Reactance
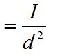
Lighting - Inverse Square law
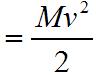
Kinetic Energy
Line voltage
Magnetic flux density
mechanical Force
mechanical Power
Work Done (Energy)
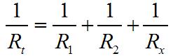
Resistors in parallel
Periodic time
mechanical Pressure
Potential Energy
electrical Power
Power in an AC circuit
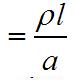
Resistance (Resistivity)
Phase voltage
EMF (self induced)
Resistors in series
SLIP (motors)
Stored Energy
Synchronous speed (motors)
Temperature coefficient of resistance
Total luminous flux
transformer ratios
Impedance in an RL circuit
Impedance in an RLC circuit